graphviz 简介
本文介绍一个高效而简洁的绘图工具graphviz。graphviz是贝尔实验室开发的一个开源的工具包,它使用一个特定的DSL(领域特定语言): dot作为脚本语言,然后使用布局引擎来解析此脚本,并完成自动布局。graphviz提供丰富的导出格式,如常用的图片格式,SVG,PDF格式等。
基础知识
graphviz包含3中元素,图,顶点和边。每个元素都可以具有各自的属性,用来定义字体,样式,颜色,形状等。下面是一些简单的示例,可以帮助我们快速的了解graphviz的基本用法。
graphviz的安装及使用(以centos为例)
1 | yum install graphviz -y |
demo
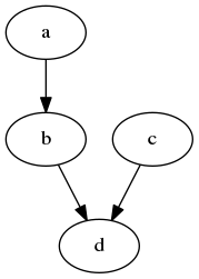
比如,要绘制一个有向图,包含4个节点a,b,c,d。其中a指向b,b和c指向d。可以定义下列脚本:
1 | digraph abc{ |

这里就只抛砖引玉,其余的图形这里就不再赘述了,需要的时候自行探索
BTW 推荐一款非常好用的在线url图绘制工具1
https://www.processon.com/diagrams